• Предмет: Алгебра
  • Автор: наталья51298
  • Вопрос задан 11 лет назад

Помогите решить!!! Все задания на фотографии))

Приложения:

Ответы

Ответ дал: Artem112
0

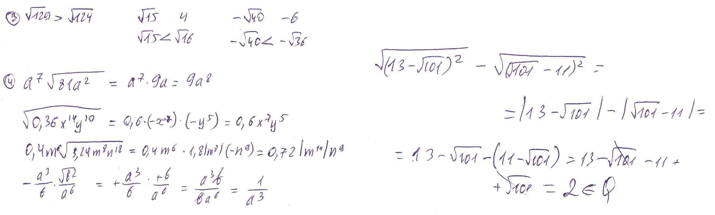
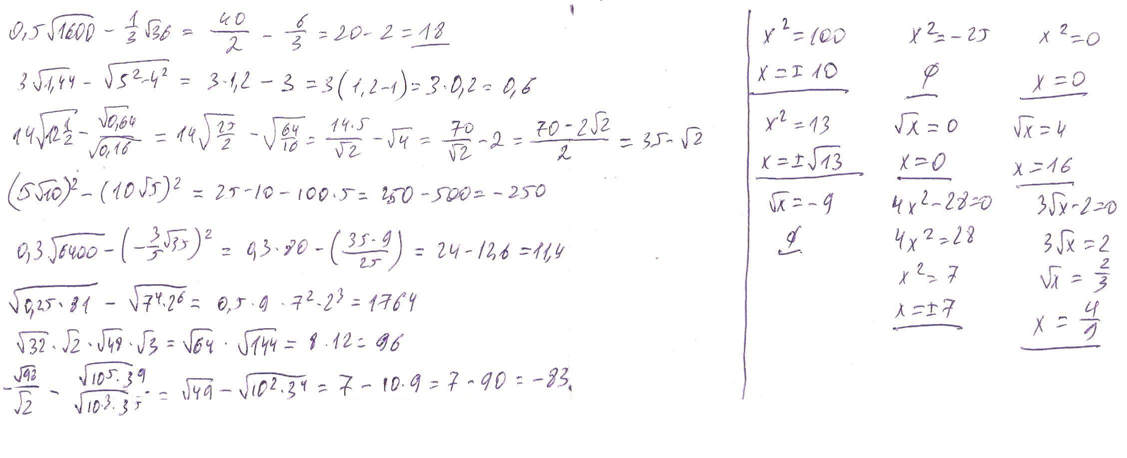
надеюсь понятно будет...

Приложения:
Вас заинтересует