• Предмет: Алгебра
  • Автор: VikaDvoryanova
  • Вопрос задан 11 лет назад

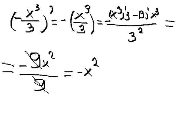
(-x3/3)'= ? Производная -х в 3 степени делить на 3 =? Заранее спасибо:)

Ответы

Ответ дал: dtnth
0

(-frac{x^3}{3})'=-frac{1}{3}(x^3)'=-frac{1}{3}*3x^2=-x^2

Ответ дал: InSutic
0

Я думаю, что будет такое решение

Приложения:
Вас заинтересует