• Предмет: Математика
  • Автор: karinaaadelina
  • Вопрос задан 10 лет назад

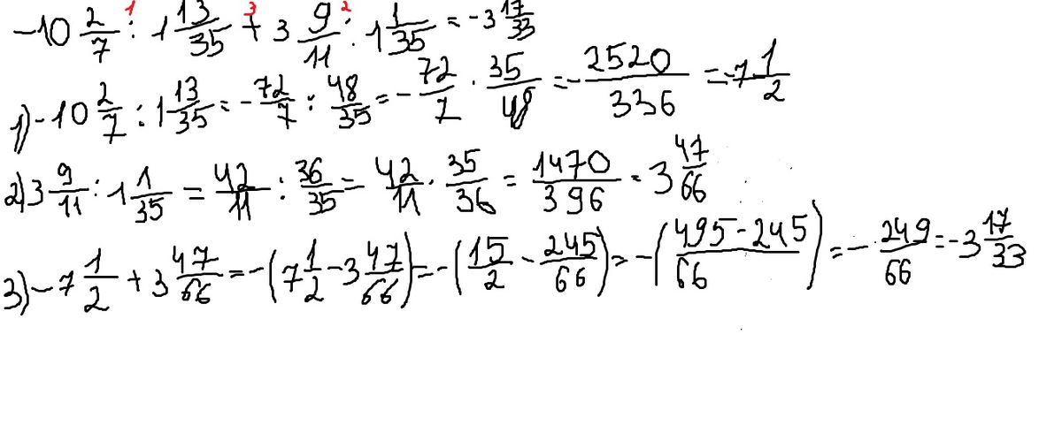
Помогите Вычислите: -10 2/7:1 13/35 + 3 9/11:1 1/35.

Ответы

Ответ дал: Pelageya
0
Решение и ответ прикреплены
Приложения:
Вас заинтересует