• Предмет: Алгебра
  • Автор: therosa
  • Вопрос задан 11 лет назад

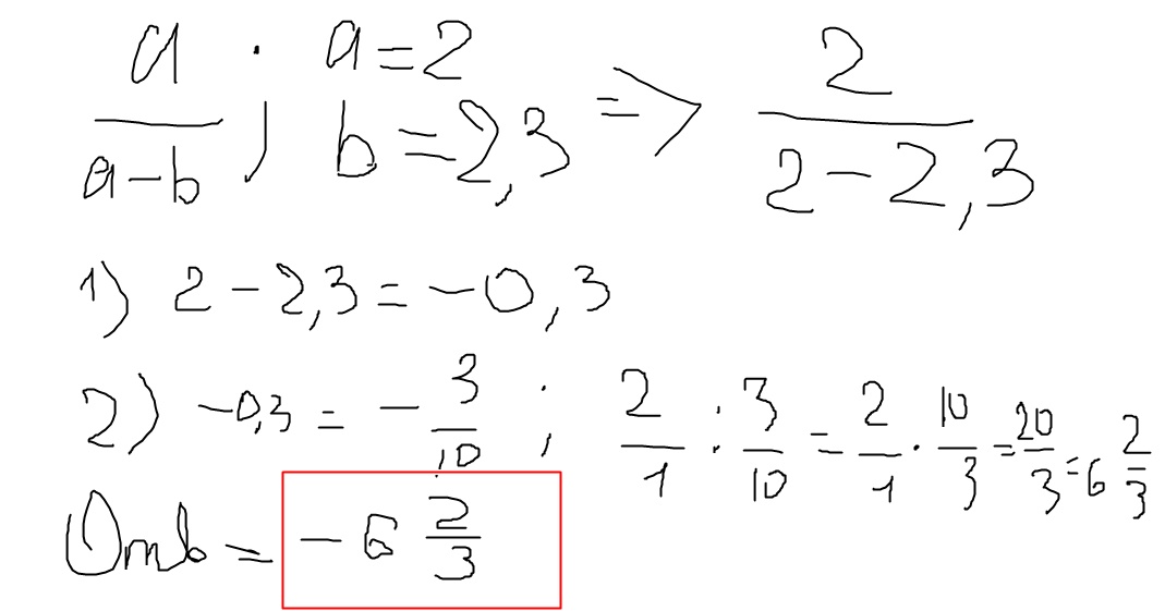
Найдите значения выражения a деленное на a-b при a=2 и b=2,3

Ответы

Ответ дал: VladaFevral
0

подстави вместо а и в значения

2/ 2-2,3

2/(-0.3)

20/-3

-6 целых 2/3

ОТВЕТ -6 МЦЕЛЫХ 2/3

Ответ дал: NassI
0

вробы так......................................

Приложения:
Вас заинтересует