• Предмет: Алгебра
  • Автор: Лизоньк
  • Вопрос задан 11 лет назад

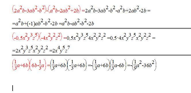
(2a^{2}b-3ab^{2}-b^{2})-(a^{2}b-2ab^{2}+2b)- упростить выражение

(-0,5x^{2}y^{3}z^{5})*(-4x^{2}y^{2}z^{2})- найти значение выражения

(frac{1}{3}a+6b)*(6b-frac{1}{3}a)- найти значение выражения

 

 ПОЖАЛУЙСТА ПОМОГИТЕ РЕШИТЬ ОЧЕНЬ НУЖНО......

Ответы

Ответ дал: triolana
0

=======================================================

Приложения:
Вас заинтересует