• Предмет: Алгебра
  • Автор: Callie
  • Вопрос задан 10 лет назад

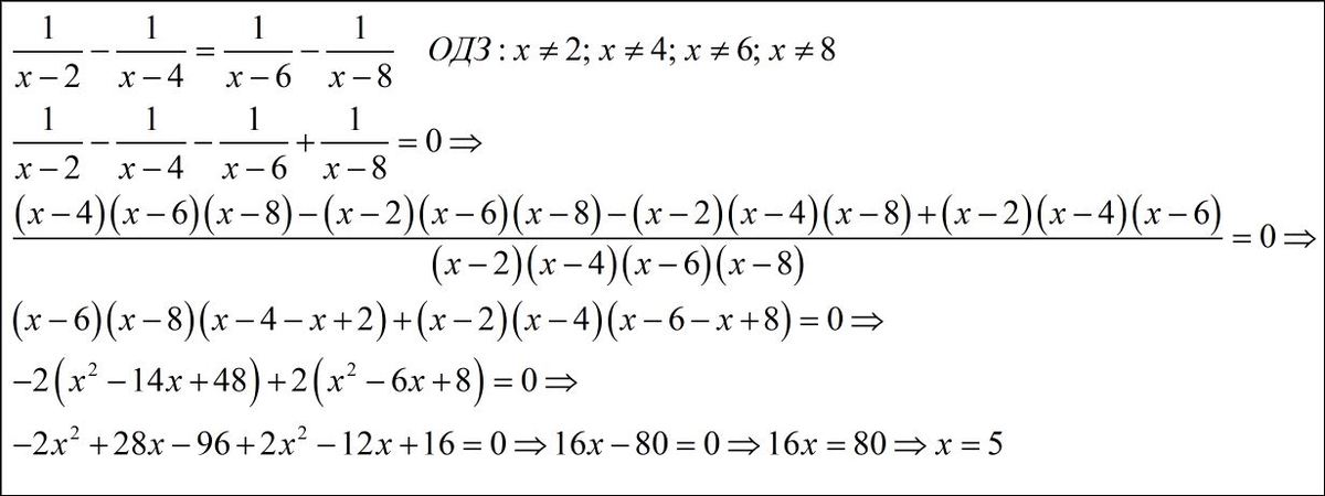
Помогите решить уравнения!

Приложения:

Ответы

Ответ дал: Аноним
0
решение смотри во вложенииииииииииииииииии
Приложения:
Вас заинтересует