• Предмет: Геометрия
  • Автор: Дарина0898
  • Вопрос задан 11 лет назад

Решите плизз на листочке а потом сфоткайте и вложите только всё подробно оооочень прошу! 

Приложения:

Ответы

Ответ дал: rokfeller007
0

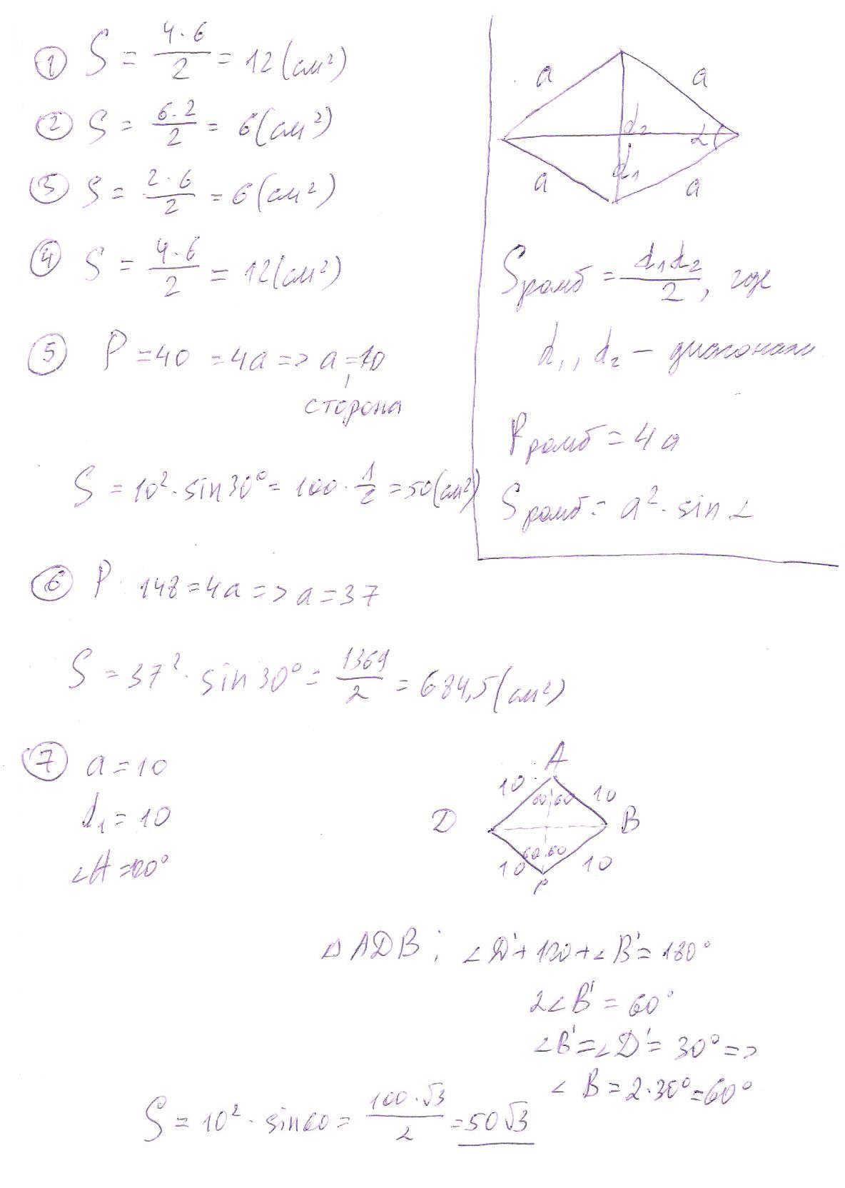
1)2*3/2=3cm^2 - площадь 1/4 ромба

3*4=12cm^2 -площадь ромба

2)1*3/2=3/2cм^2 - площадь 1/4 ромба

3/2*4=6см^2 -площадь ромба

3)Это тот же ромб что и во втором задании(решение такое же)

4)Это тот же ромб что и в первом задании(решение такое же)

5)Ромб- это параллелограм,

S пар-ма =a*b*sin (угла между ними) 

P ромб=40 т.к. все стороны у ромба равны то:

40:4=10 -сторона ромба

S пар-ма=10*10*sin30=100* 1:2=50

Ответ:50

6)148:4=37 -сторона ромба

S ромб=37*37*sin30=1369* 1:2=684,5

Ответ:684,5

7)Получается что ромб состоит из двух равносторонних и равных между собой треугольников

S=frac{a^2sqrt{3}}{4}-площадь равност. треуг.

 

S=2*(frac{a^2sqrt{3}}{4}) -площадь данного ромба

 

S=(frac{10^2sqrt{3}}{2})=50sqrt{3}

 

Ответ:50sqrt{3}

Ответ дал: Artem112
0

надеюсь понятно будет...

Приложения:
Вас заинтересует