• Предмет: Алгебра
  • Автор: Christina000
  • Вопрос задан 11 лет назад

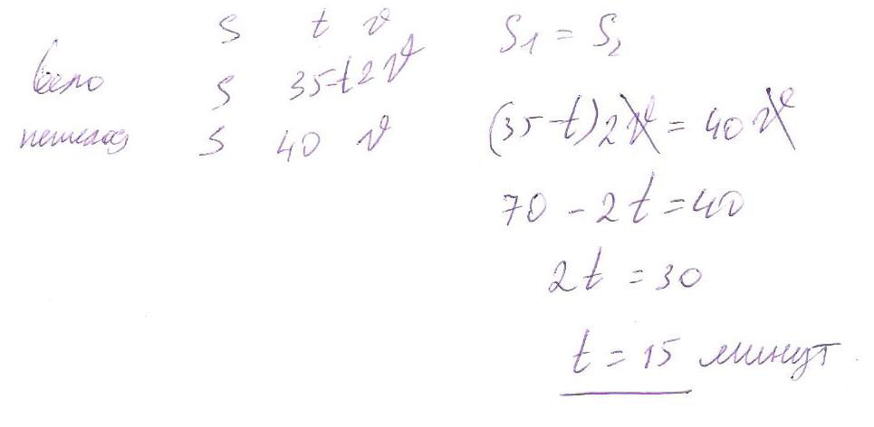
Велосипедист и пешеход отправились одновременно из пункта А в пункт В. Скорость велосипедиста была в 2 раза больше скорости пешехода, но в пути он сделал остановку для устранения поломки велосипеда и поэтому в пункт В прибыл лишь на 5 минут раньше пешехода, который на весь путь затратил 40 минут. Сколько миут велосипедист устранял поломку велосипеда?

Ответы

Ответ дал: Artem112
0

надеюсь понятно будет...

Приложения:
Ответ дал: vajny
0

Если бы не поломка, велосипедист бы затратил в 2 раза меньшее время, чем пешеход, то есть 20 минут. Но он затратил в итоге: 40-5=35 минут.

Значит поломку он устранял: 35 - 20 = 15 минут.

Приложения:
Вас заинтересует