• Предмет: Математика
  • Автор: THarc
  • Вопрос задан 10 лет назад

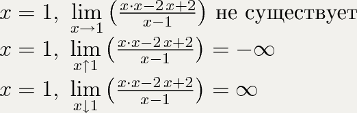
Провести полное исследование функции и построить график.
y=((x*x)-2x+2)/(x-1)

Ответы

Ответ дал: Кристина3214
0
Как то так))))))))))))))))))))))))))))))))
Приложения:
Ответ дал: THarc
0
Исследование не то, но за график спасибо.
Вас заинтересует