• Предмет: Алгебра
  • Автор: KatyaKatyshka98
  • Вопрос задан 10 лет назад

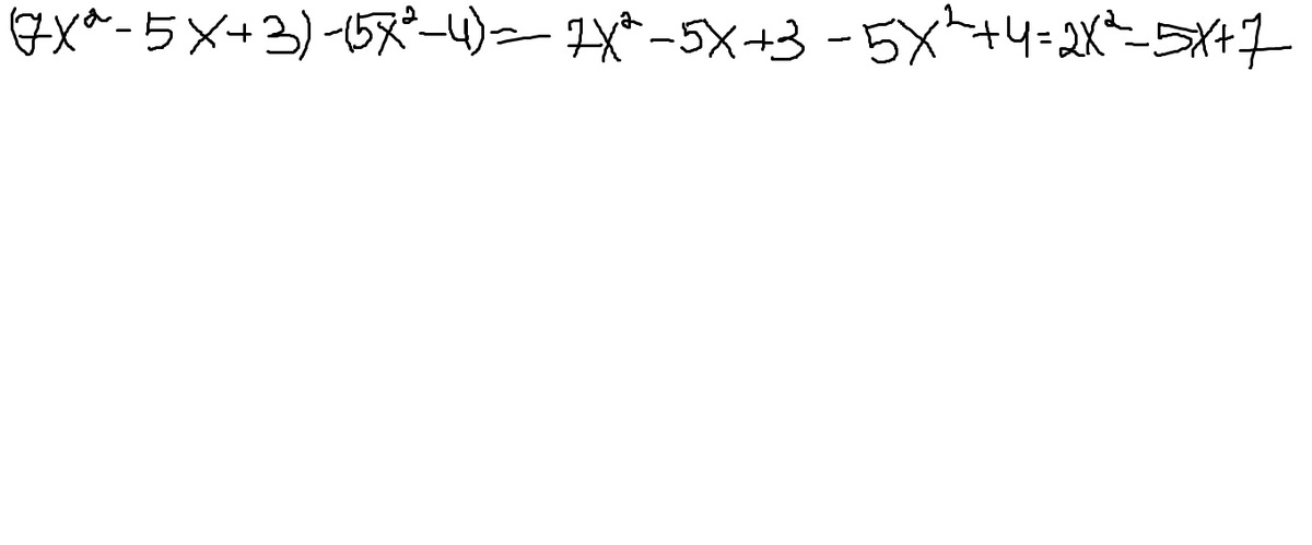
упростите выражение (7х^2-5х+3)-(5х^2-4)

Ответы

Ответ дал: Pelageya
0
Решение и ответ прикреплены
Приложения:
Вас заинтересует