• Предмет: Физика
  • Автор: Azeri12
  • Вопрос задан 11 лет назад

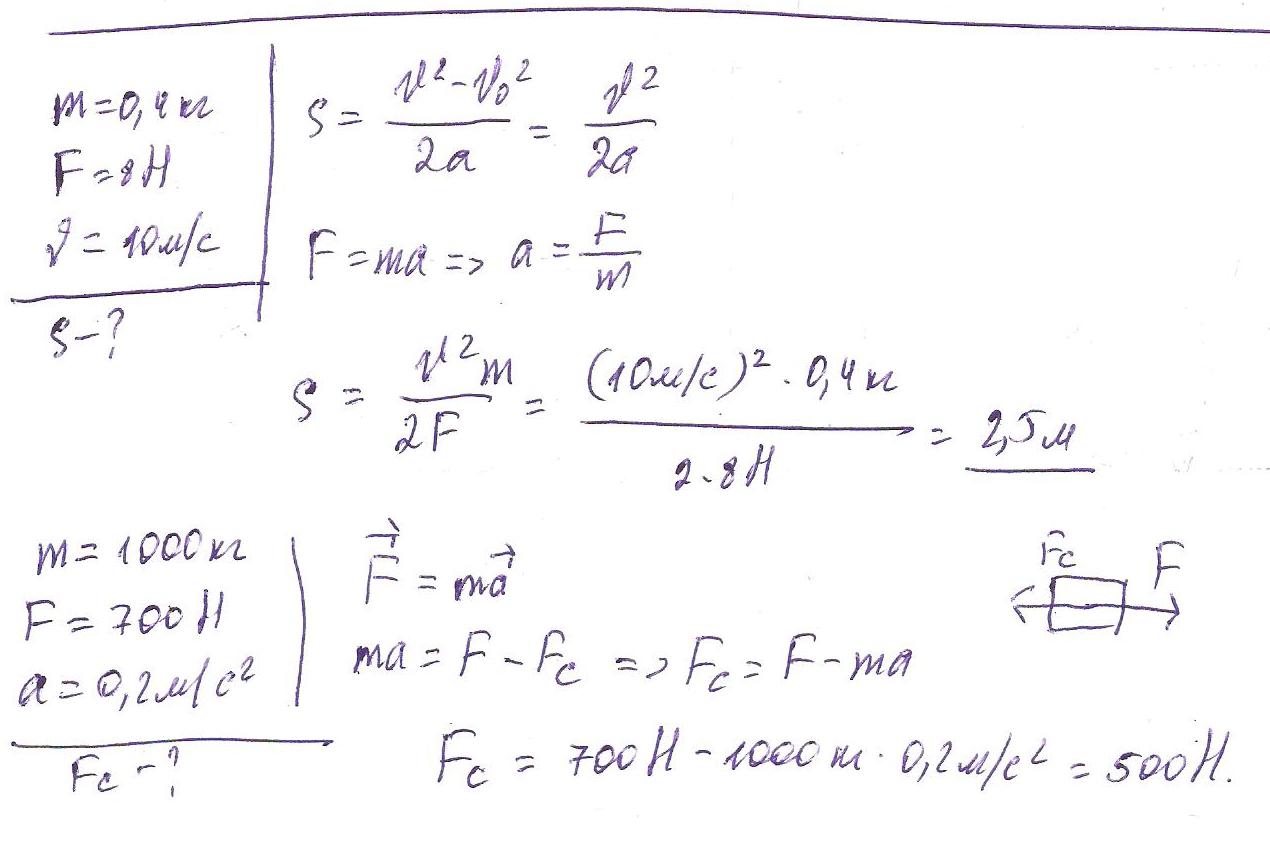
1.покоящееся тело массой 400г под действием силы 8Н приобрело скорость 36км/ч. Какой путь при этом прошло тело? 2. Определите силу сопротивления движению, если вагонетка массой 1т под действием силы тяги, равной 700Н, приобрела ускорение ,равное 0,2 м/c в квадрате

Ответы

Ответ дал: Artem112
0

надеюсь будет понятно...

Приложения:
Ответ дал: Аноним
0

1)По второму закону Ньютона:

   a = F / m;

   a = 8 / 0.4 = 20 м/c²

2)S = v² - v₀² / 2a = 10² / 40 = 100 / 40 = 2.5 м

 

2 задача

Изобразим силы, действущие на тело.

Это сила тяги, направленная по направлению движения и сила сопротивления, направленная против движения. Ось x направим по напралвению движения, ускорение тоже направлено по направлению движения. Запишем второй закон Ньютона в векторной форме:

F(тяг) + F(сопр) = ma

В проециях на ось x:

F(тяг) - F(сопр) = ma

F(сопр) = F(тяг) - ma

F(сопр) = 700 - 1000 * 0.2 = 700 - 200 = 500 H

Приложения:
Вас заинтересует