• Предмет: Алгебра
  • Автор: qqooqq
  • Вопрос задан 11 лет назад

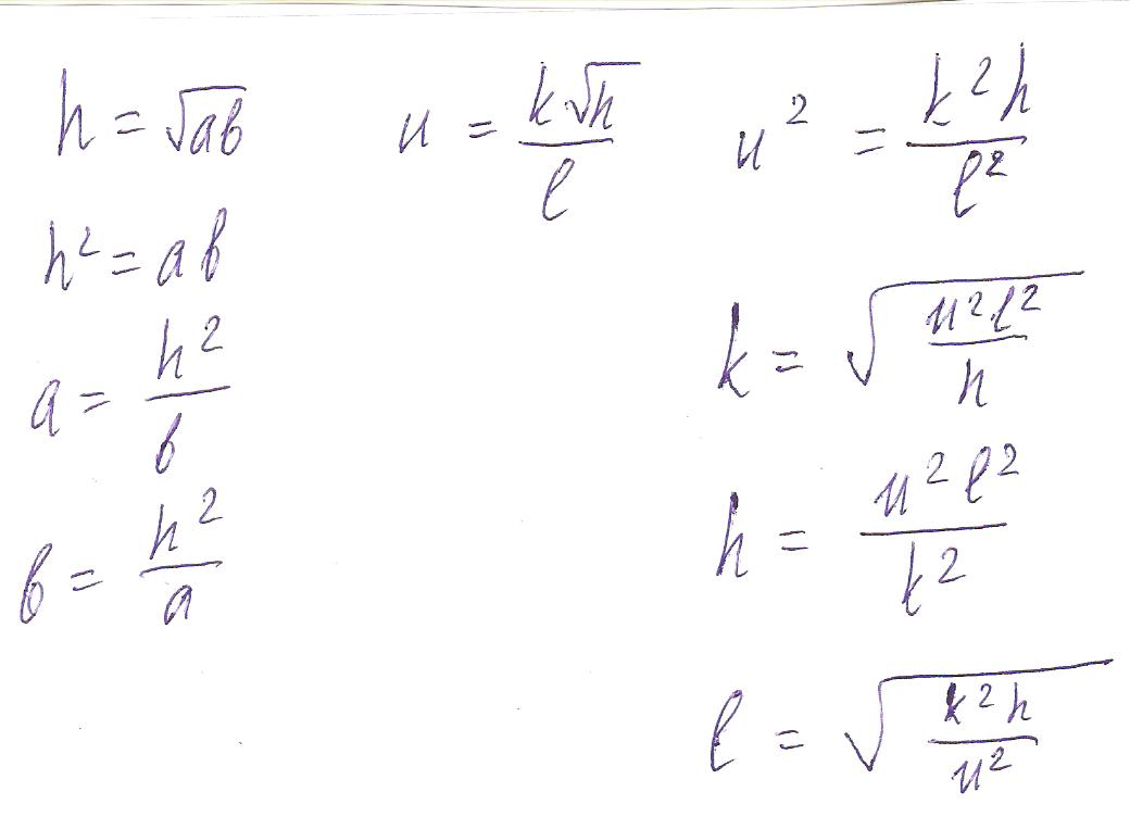
№408. Высота h, проведённая из вершины прямоугольника угла прямоугольного треугольника, вычисляется по формуле h = корень из ab. Выразить из этой формулы а и b.
№409. Из формулы выразить каждую переменную, стоящую под знаком радикала:
(к №409 вложение ниже) ._.

Приложения:

Ответы

Ответ дал: Artem112
0

надеюсь будет понятно...

Приложения:
Ответ дал: Nik133
0

408) h=sqrt{ab} \ sqrt{a}=frac{h}{sqrt{b}} \ a=frac{h^2}{b} \ sqrt{b}=frac{h}{sqrt{a}} \ b=frac{h^2}{a}

 

409) u=frac{ksqrt{h}}{l} \ u=frac{k}{l}*sqrt{h} \ sqrt{h}=u:frac{k}{l} \ sqrt{h}=u*frac{l}{k} \ h=frac{u^2l^2}{k^2}

Знак радикала это квадратный корень

Приложения:
Вас заинтересует