• Предмет: Химия
  • Автор: Cheriecherie
  • Вопрос задан 10 лет назад

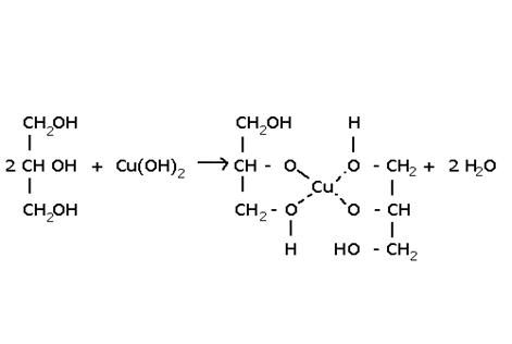
HOCH2-CH(OH)-CH2OH+CU(OH)2⇒?

Ответы

Ответ дал: HUH39I
0
..................................................
Приложения:
Вас заинтересует