Ответы
                                            Ответ дал: 
                                                                                    
                                        
                                            
                                                
                                                
                                                
                                                    0
                                                
                                            
                                        
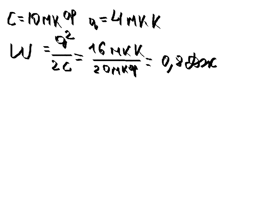
                                    Я думаю, что эта задача решается так
Приложения:
                    
                            Вас заинтересует
                
                        10 лет назад
                    
                
                        10 лет назад
                    
                
                        10 лет назад