Физики,где вы все? Помогите пожалуйста решить задачи!Срочно нужно( Прошу,прошу..
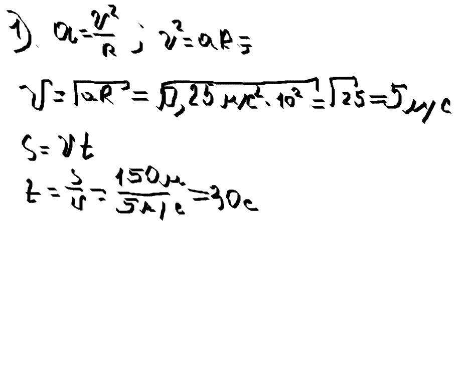
1) Вагон движется с постоянной по модулю скоростью по рельсам,проложенным по дуге окружности радиусом R=100м. Ускорение вагона при этом составляет 0,25 м/с в квадрате. За какое время вагон пройдет путь,равный 150 м?
2) В цепь переменного тока последовательно включены активное сопротивление 100 Ом и конденсатор. Амплитуда напряжения на конденсаторе 100 В. Средняя мощность,выделяющаяся за период на активном сопротивлении,равна 18 Вт. Найдите ёмкость конденсатора,если циклическая частота W=300 с в минус первой степени. Ответ выразите в микрофорадах и округлите до целых.
Ответы
Ответ дал:
0
Вторая в процессе.Она не такая простая
Приложения:

Вас заинтересует
2 года назад
8 лет назад
8 лет назад
10 лет назад
10 лет назад
10 лет назад