Ответы
Ответ дал:
0
Ответ дал:
0
если стороны 27 и 28, то периметр 90 не выходит. перепроверь
Ответ дал:
0
Ошиблась 45 -27 = 18
Ответ дал:
0
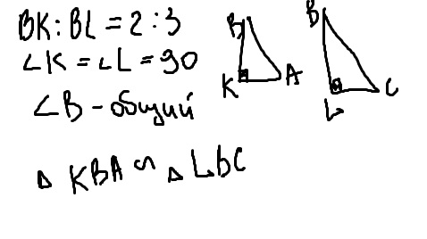
треугольники подобны(док-во в изображении)
BK:BL=AK:LC=AB:BC=2:3
AB=2x, тогда BC=3x
P=2AB+2BC=4x+6x=90см
10x=90
x=9
AB=2x=18
BC=3x=27
BK:BL=AK:LC=AB:BC=2:3
AB=2x, тогда BC=3x
P=2AB+2BC=4x+6x=90см
10x=90
x=9
AB=2x=18
BC=3x=27
Приложения:

Вас заинтересует
2 года назад
7 лет назад
10 лет назад
10 лет назад