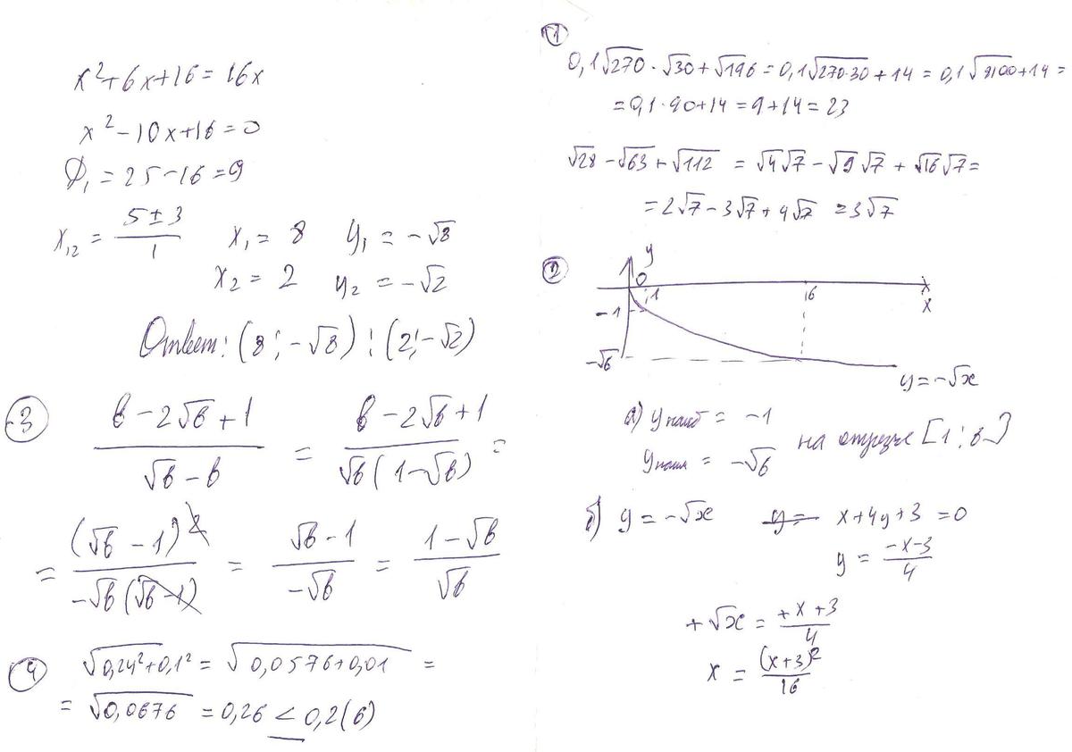
решите пожалуйста срочно) 1) 0,1√270*√30+√196 2) √28-√63+√112
и вот все задания контрольной, которую надо решить
ребят,помогите)))
Приложения:

Ответы
Ответ дал:
0
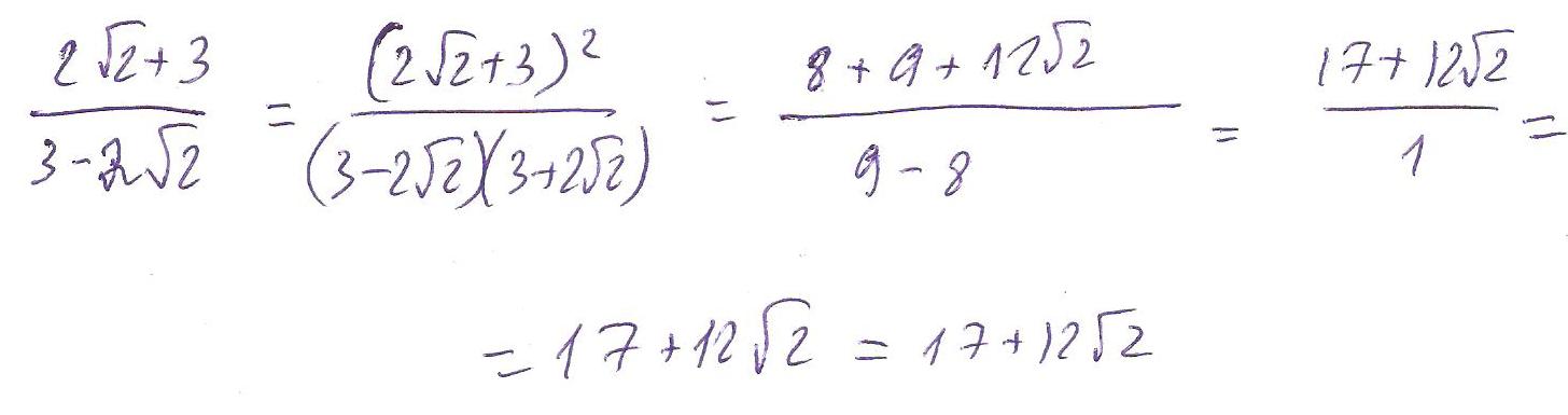
надеюсь понятно будет...
Приложения:


Вас заинтересует
2 года назад
2 года назад
8 лет назад
10 лет назад
10 лет назад