• Предмет: Математика
  • Автор: lovelove266
  • Вопрос задан 10 лет назад

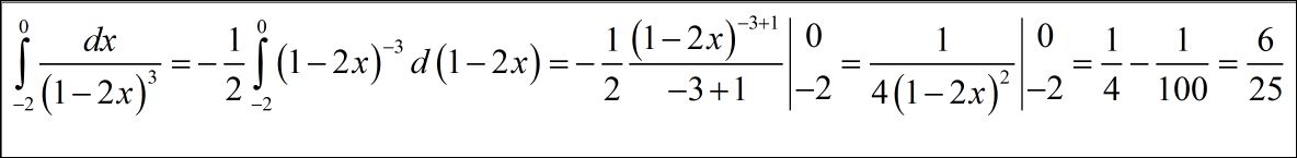
Помогите, пожалуйста, решить определенный интеграл.

Приложения:

Ответы

Ответ дал: Аноним
0
решение смотри во вложении...............................
Приложения:
Ответ дал: lovelove266
0
спасибо большое!
Вас заинтересует