• Предмет: Математика
  • Автор: Romanika
  • Вопрос задан 10 лет назад

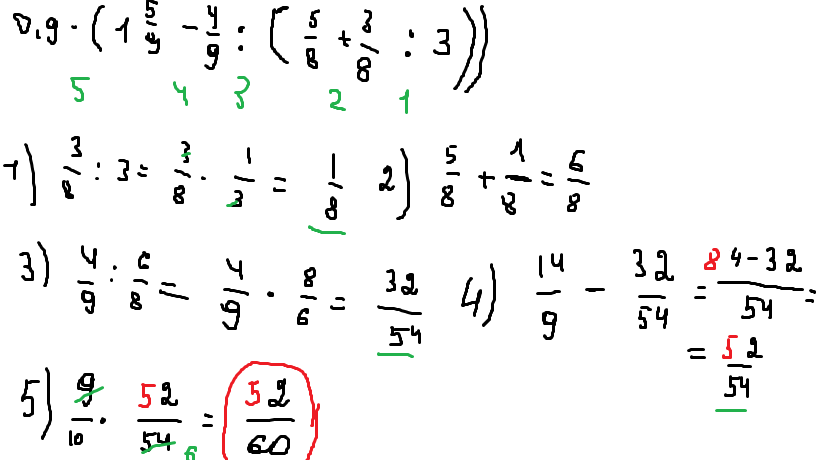
#915. Вычислите значение выражения.

Приложения:

Ответы

Ответ дал: Кристиникус1Великий
0
ответ будет 44 тридцатых
Ответ дал: Кристиникус1Великий
0
бы прислала фотография с решением но не знаю как прикрепить
Ответ дал: Romanika
0
Спасибо.
Ответ дал: Кристиникус1Великий
0
Не за что
Ответ дал: zeros95
0
вроде так. Надеюсь все понятно 
Приложения:
Ответ дал: Romanika
0
Спасибо.
Ответ дал: zeros95
0
ай, ошибся. сейчас исправлю
Ответ дал: Romanika
0
хорошо
Вас заинтересует