• Предмет: Алгебра
  • Автор: Аноним
  • Вопрос задан 10 лет назад

30 баллов!!!
как это решить?

Приложения:

Ответы

Ответ дал: xnasika
0
  sqrt{3} ^{2} +2* sqrt{3} +1+ sqrt{3 ^{2} } -2* sqrt{3} +1= \ =3+2 sqrt{3} +1+3-2 sqrt{3} +1=8
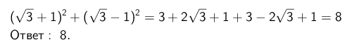
Ответ дал: SkyBy
0
Смотрите решение в прикреплённом файле.
Приложения:
Вас заинтересует