Ответы
Ответ дал:
0
находим общий множитель 12. и добавляем к числителю соответствующие числа. А знаменатель убирается
х/3+х/4=5/12+х/6
4х+3х=5+2х
7х-2х=5
5х=5
х=5/5
х=1
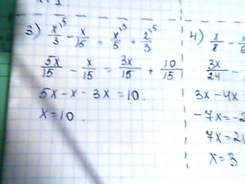
х/3-х/15=х/5+2/3 общий множ 15
5х-х=3х+10
4х-3х=10
х=10
х/5+х/4=х/2-1/4 общ.множ 20
4х+5х=10х-5
9х-10х=-5
-х=-5
х=-5/-1
х=5
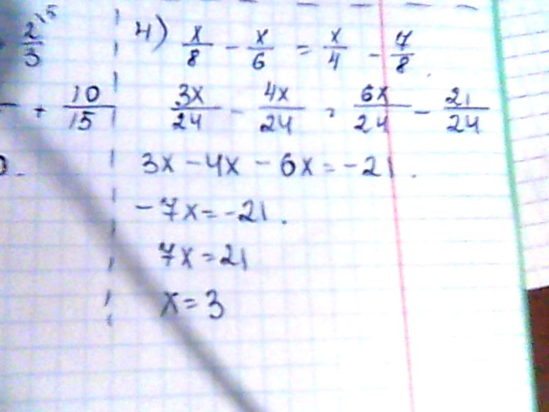
х/8-х/6=х/4-7/8 общ.множ 24
3х-4х=6х-21
-х-6х=-21
-7х=-21
х=-21/-7
х=3
х/3+х/4=5/12+х/6
4х+3х=5+2х
7х-2х=5
5х=5
х=5/5
х=1
х/3-х/15=х/5+2/3 общий множ 15
5х-х=3х+10
4х-3х=10
х=10
х/5+х/4=х/2-1/4 общ.множ 20
4х+5х=10х-5
9х-10х=-5
-х=-5
х=-5/-1
х=5
х/8-х/6=х/4-7/8 общ.множ 24
3х-4х=6х-21
-х-6х=-21
-7х=-21
х=-21/-7
х=3
Ответ дал:
0
Вы бы хоть картинки переворачивали.............
Приложения:
Вас заинтересует
3 года назад
8 лет назад
10 лет назад
10 лет назад
11 лет назад
11 лет назад