• Предмет: Математика
  • Автор: ararka
  • Вопрос задан 10 лет назад

799
Надеюсь кто нибудь откликнется!
Спасибо заранее

Приложения:

Ответы

Ответ дал: Ellenochka
0
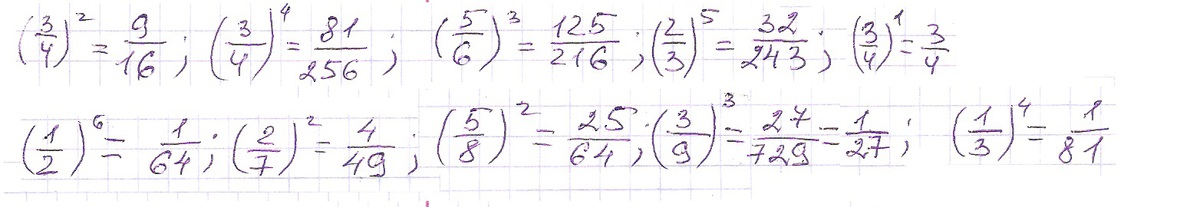
вариант решения во вложении
Приложения:
Ответ дал: ararka
0
Спасибо большое Ученый))
Вас заинтересует