• Предмет: Математика
  • Автор: ladunka14
  • Вопрос задан 10 лет назад

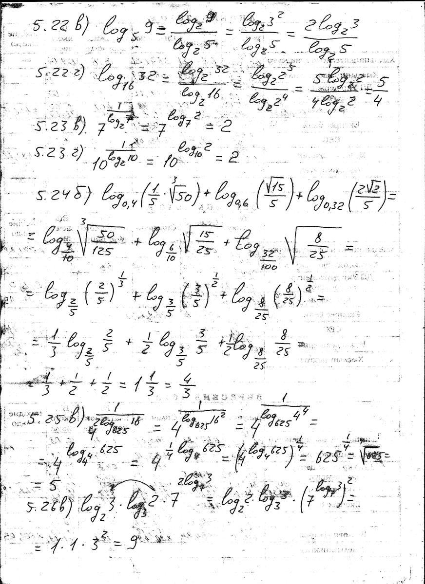
Помогите пожалуйста срочно.Задания : 5.22,5.23 в г , 5.24 б, 5.25,5.26 в

Приложения:

Ответы

Ответ дал: Аноним
0
решение смотри во вложении....................................
Приложения:
Ответ дал: ladunka14
0
Спасибо огромное
Вас заинтересует