• Предмет: Алгебра
  • Автор: marsvnas0111
  • Вопрос задан 10 лет назад

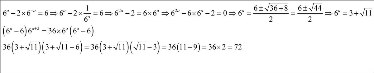
Известно,что 6^a-2*6^-a=6. Найдите значения выражения (6^a-6)*6^a+2

Помогите пожалуйста!

Приложения:

Ответы

Ответ дал: Аноним
0
решение смотри во вложении.....................
Приложения:
Вас заинтересует