• Предмет: Алгебра
  • Автор: shirshovaarina
  • Вопрос задан 10 лет назад

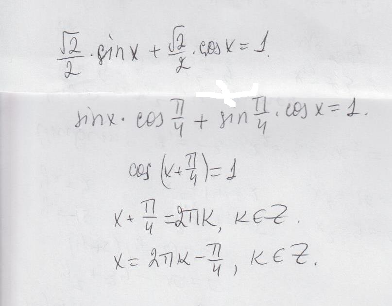
корень и двух/2 sin x+корень из 2/2 cos x =1

Ответы

Ответ дал: belcatya
0
решение в приложении
Приложения:
Вас заинтересует