• Предмет: Алгебра
  • Автор: Аноним
  • Вопрос задан 10 лет назад

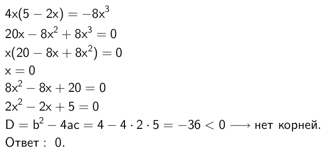
4x·(5-2x)=-8 x^{3}                       решите

Ответы

Ответ дал: o1l9g8a9
0
20x-8 x^{2} +8 x^{3}=0; 4x(2 x^{2} -2x+5)=0; 4x=0, x=0 или 2 x^{2} -2x+5=0 - действительных корней нет. Ответ: x=0
Ответ дал: Аноним
0
спасибо
Ответ дал: SkyBy
0
Смотрите решение в прикреплённом файле.
Приложения:
Ответ дал: SkyBy
0
Исправил с учётом минуса в условии.
Вас заинтересует