Гусей а 4 раза меньше, чем уток. Уток на 1020 больше, чем гусей. Сколько всего гусей. Сколько всего уток?
Ответы
Ответ дал:
0
1) 1020:4=255 гусей.
2) 255+1020=1275 уток.
Ответ: гусей 255, уток 1275.
Скорее всего так,не стали бы спрашивать сколько их по кол-ву,если уравнением решать..
2) 255+1020=1275 уток.
Ответ: гусей 255, уток 1275.
Скорее всего так,не стали бы спрашивать сколько их по кол-ву,если уравнением решать..
Ответ дал:
0
тут только уравнением...
Ответ дал:
0
К сожалению, не могу добавить правильное решение, т.к. нет поля ля ответа
Ответ дал:
0
Я в 6 классе, что Вы хотели?Плохо еще решаю задачи,понимаю многое,но не все)
Ответ дал:
0
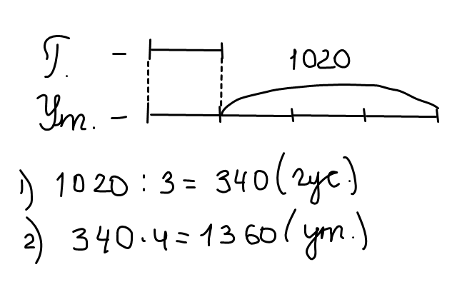
Если сделать к задаче чертеж, то видно, что разница в частях составляет 3 части. И именно эти 3 части составляют 1020уток. 1) 1020:3=340(1часть или гусей) 2) 340х4=1360(уток)
Ответ дал:
0
Смотри прикрепленный рисунок
Приложения:
Вас заинтересует
3 года назад
3 года назад
8 лет назад
10 лет назад
10 лет назад
11 лет назад