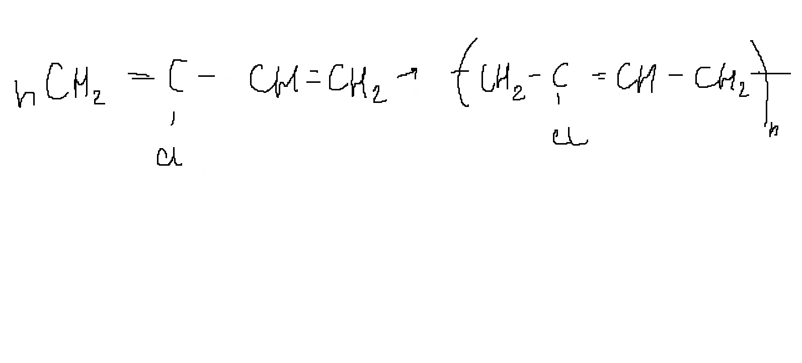
Составьте уравнение полимеризации хлоропрена СH2=СН-С-СН2 Сl и выделите структурное звено в полимере
Ответы
Ответ дал:
0
n СH2=СН-С-СН2 Сl=(-СH2-СН-С-СН2 Сl-)n
Ответ дал:
0
хлоропреновый каучук получается
Приложения:

Вас заинтересует
2 года назад
2 года назад
8 лет назад
8 лет назад
10 лет назад
10 лет назад