Ответы
Ответ дал:
0
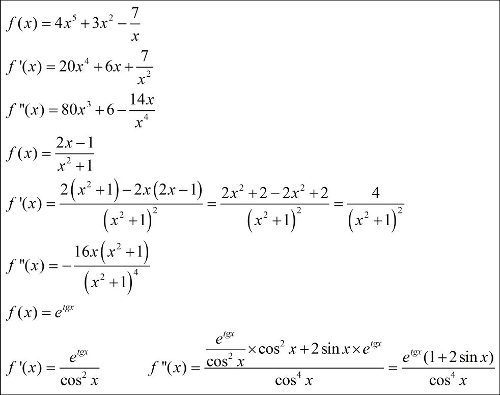
f(x)=4x⁵+3x²-
f'решение-во вложении
f'решение-во вложении
Приложения:
Вас заинтересует
3 года назад
3 года назад
8 лет назад
8 лет назад
10 лет назад
10 лет назад