• Предмет: Алгебра
  • Автор: Аноним
  • Вопрос задан 10 лет назад

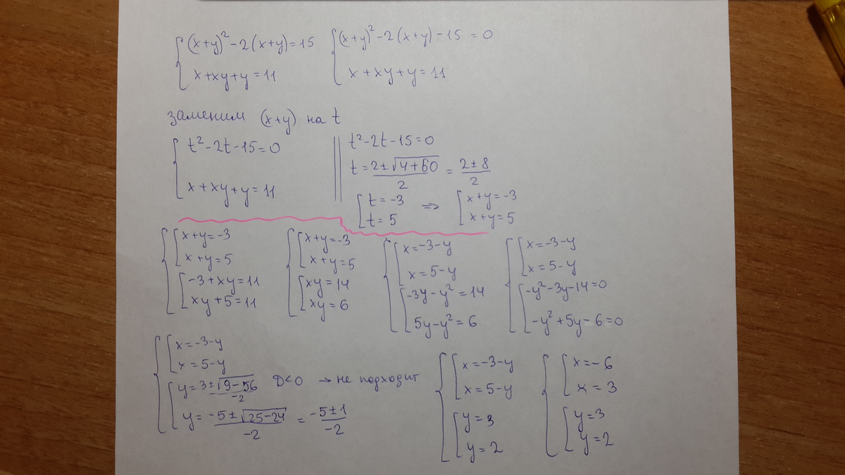
как решать { (х+у) в квадрате -2(х+у)=15 { х+ху+у=11?

Ответы

Ответ дал: Evanescence22
0
Решение на фото. Лови
Приложения:
Вас заинтересует