даны две перпендикулярные прямые a и b и плоскость альфа. Возможно ли, что
а) одна из прямых параллельна плоскости, а другая перпендикулярна плоскости?
б)обе прямые перпендикулярны плоскости?
Ответы
Ответ дал:
0
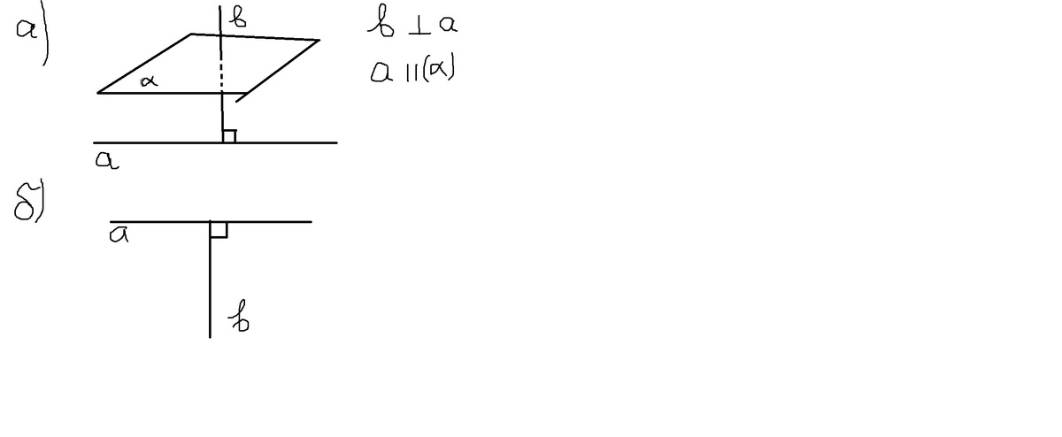
а) Возможно.
т.к. прямые взаимноперпендикулярны, следовательно, одна из них может проходить через плоскость, являясь для другой прямой перпендикуляром.
б) Невозможно.
т.к. прямые ваимноперпендикулярны, то они всегда сохраняют положение "Т" друг к другу, а следовательно, одновременно быть перпендикулярными к одной плоскости не могут быть. (Рисунок прилагается)
т.к. прямые взаимноперпендикулярны, следовательно, одна из них может проходить через плоскость, являясь для другой прямой перпендикуляром.
б) Невозможно.
т.к. прямые ваимноперпендикулярны, то они всегда сохраняют положение "Т" друг к другу, а следовательно, одновременно быть перпендикулярными к одной плоскости не могут быть. (Рисунок прилагается)
Приложения:

Вас заинтересует
2 года назад
2 года назад
7 лет назад
10 лет назад