• Предмет: Математика
  • Автор: milaska12345678
  • Вопрос задан 10 лет назад

РЕШИТЕ УРАВНЕНИЯ :
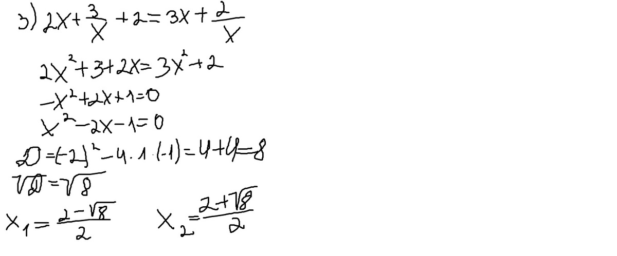
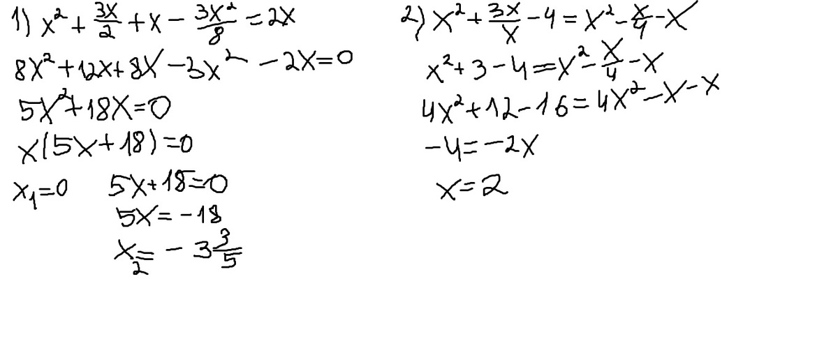
1)x^2+3x/2+x-3x^2/8=2x 2)x^2+3x/x-4=x^2-x/4-x 3)2x+3/x+2=3x+2/x

Ответы

Ответ дал: Pelageya
0
Решения и ответы прикреплены.
Приложения:
Вас заинтересует