Ответы
Ответ дал:
1
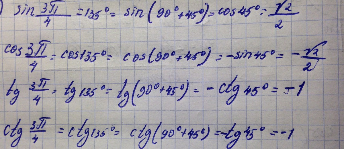
Если стоит в скобках слагаемое 90°, 270° то функция меняется на кофункцию. Знак определяется по положению угла в окружности.
Например во втором примере: косинус 135 ты разбила на косинус(90+45). В скобках слагаемое 90, значит по формуле приведения функция меняется на кофункцию. А знак определяем по углу прежней функции. Угол 90+45 лежит во 2 четверти. Косинус во 2 четверти отрицательный, значит получается -синус45.
Например во втором примере: косинус 135 ты разбила на косинус(90+45). В скобках слагаемое 90, значит по формуле приведения функция меняется на кофункцию. А знак определяем по углу прежней функции. Угол 90+45 лежит во 2 четверти. Косинус во 2 четверти отрицательный, значит получается -синус45.
temirlanseisek:
спасибо вам!
Вас заинтересует
2 года назад
2 года назад
2 года назад
2 года назад
7 лет назад
9 лет назад