• Предмет: Математика
  • Автор: Unyhka
  • Вопрос задан 3 года назад

Помогите побыстрей!!!! Даю 80 баллов

Приложения:

danz0001: выбери мой ответ лучшем плс

Ответы

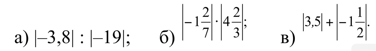
Ответ дал: danz0001
1
Ответ А) 0,2;Б)-6;В)2
А)(-3,8)/(-19)=0,2
Б)(-9/7)*(14/3)=-6
В)(3.5)+(-1.5)=2
Вас заинтересует