• Предмет: Математика
  • Автор: Angelok12345
  • Вопрос задан 11 лет назад

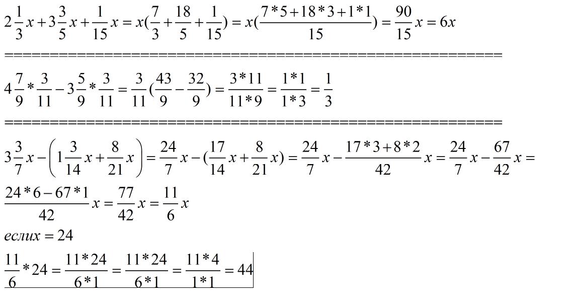
1)2 1/3х +3 3/5х + 1/15х=...

2)4 7/9 "умножить на" 3/11 - 3 5/9 "умножить на" 3/11=...

3)3 3/7х - (1 3/14х +8/21х) если х=24

Напишите поскорее!!!Умоляю!!!

 

 

 

 

 

 

Ответы

Ответ дал: triolana
0

==================================================

Приложения:
Вас заинтересует