• Предмет: Алгебра
  • Автор: Yar2757900
  • Вопрос задан 3 года назад

Решить уравнения:
а)3x во второй=0
б)(x+1)(x-1)=0
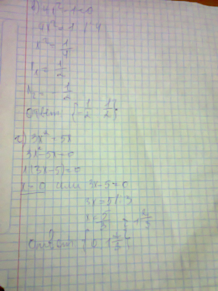
в)4x во второй - 1=0
Г)3x во второй=5x

Ответы

Ответ дал: maleevvladislav
0
..................................................................
Приложения:
Вас заинтересует