• Предмет: Алгебра
  • Автор: 228хулиган228
  • Вопрос задан 3 года назад

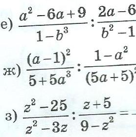
Помогите решить! Срочно!!! Даю 25 баллов

Приложения:

Ответы

Ответ дал: suliko1960
0
Фото усеченное.Сделайте качественное фото задания.
Вас заинтересует