• Предмет: Алгебра
  • Автор: eXc
  • Вопрос задан 11 лет назад

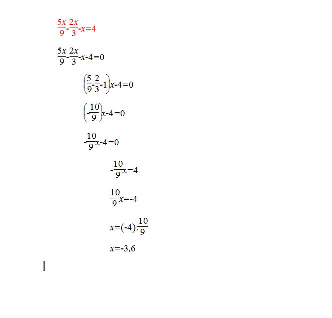
а) 5x9-2x3-x=4;

б) 3x4-x=4x5+x.

 

/- это, у меня дробная черта 

Ответы

Ответ дал: sunshine7
0

вранаорьбшщ щгшщезшгщш нещгшщнегш

 

ответы:

а) -18/5

Б) х=0 

 

Ответ дал: triolana
0

==============================================

Приложения:
Вас заинтересует