• Предмет: Алгебра
  • Автор: Аноним
  • Вопрос задан 11 лет назад

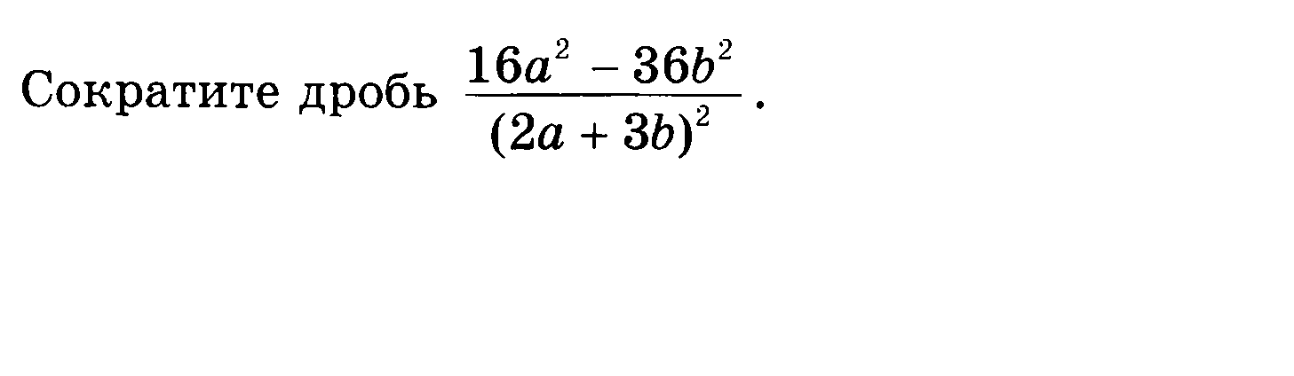
прошу решить тупые рандомные ответы не принимаю

Приложения:

Ответы

Ответ дал: arsenlevadniy
0

 

frac{16a^2-36b^2}{(2a+3b)^2}=frac{4((2a)^2-(3b)^2)}{(2a+3b)^2}=frac{4(2a+3b)(2a-3b)}{(2a+3b)^2}=frac{4(2a-3b)}{(2a+3b)}=frac{8a-12b}{(2a+3b)}

Вас заинтересует