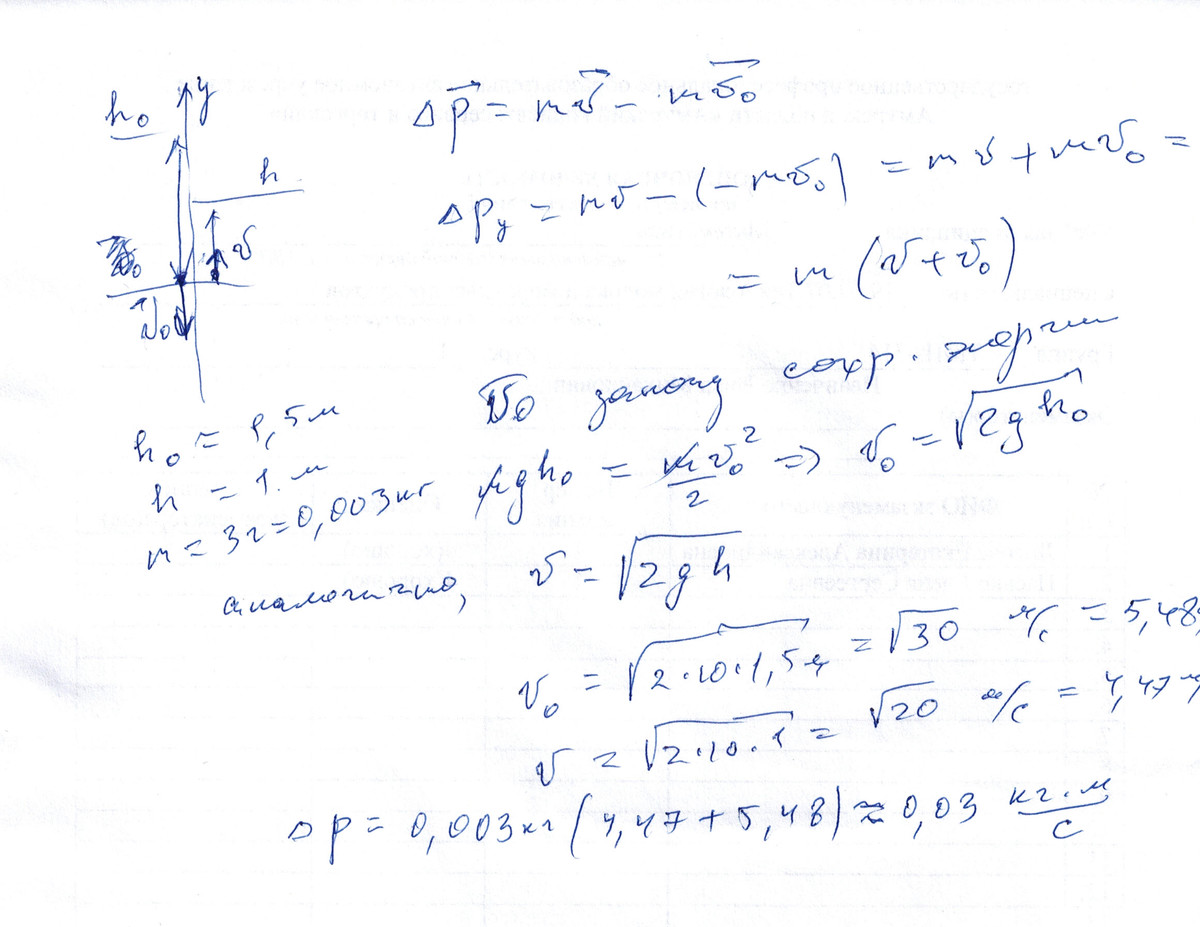
Стальной шарик массой 3 грамма свободно падает с высоты 1,5 метра на горизонтальную стальную плиту и подскакивает после удара на высоту 1 метр.Чему равна величина изменения имульса тела при ударе
Ответы
Ответ дал:
0
смотри файлик.............
Приложения:

Вас заинтересует
2 года назад
7 лет назад
7 лет назад
10 лет назад