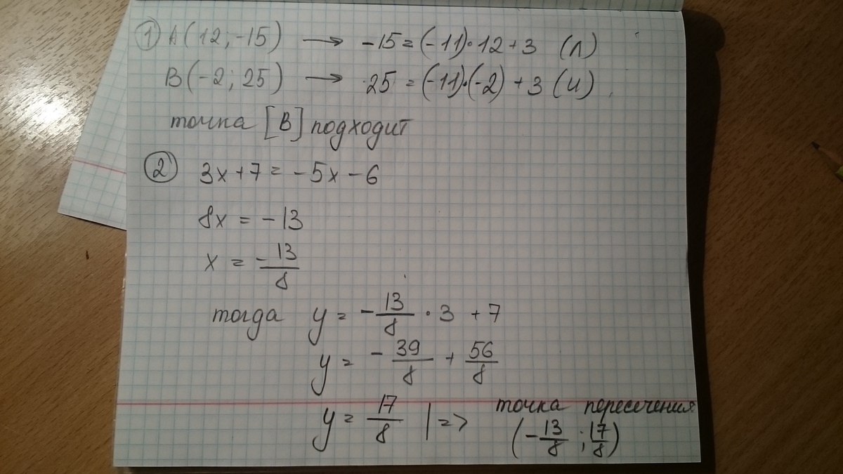
№1.Принадлежит ли точка а)А(12;-15) б)В(-2;25) графику функции у= - 11х+ 3.
№2.Найдите точку пересечения графиков функциии у=3х+7 и у= - 5х-6.
Заранее благодарен за ответ ! Люблю вас вы лучшие ;)
Ответы
Ответ дал:
5
Решение на фото. Если будут вопросы - обращайтесь :)
Приложения:

сТеПаШкАаАаА:
Сяб ;)
Вас заинтересует
2 года назад
2 года назад
7 лет назад
7 лет назад
9 лет назад