• Предмет: Алгебра
  • Автор: Стефания27092000
  • Вопрос задан 10 лет назад

РЕБЯТА,ПОМОГИТЕ ПОЖАЛУЙСТА РЕШИТЬ УРАВНЕНИЯ,МНЕ К ЗАВТРАШНЕМУ ДНЮ НАДО,а я болею и не могу ничего решить.
кому не сложно,пожалуйста помогите.
в интернете искала,но там номера заканчиваются на 700.
может вы найдете?
учебник 8 класса.
авторы учебника : Ш.А. Алимов,Ю.М. Колягин, Ю.В. Сидоров, М.В. Ткачёва, Н.Е. Фёдорова.
2011 г.
номер 702,страница 193.
мне нужно с 2 по 6 уравнение решить.

Приложения:

Ответы

Ответ дал: anod2016
0

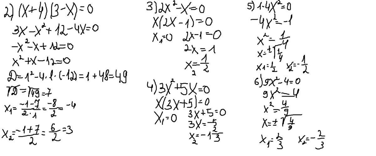
Вот решение (не совсем подробное, но если вам что то из решения не ясно, спрашивайте я вам объясню) 
Приложения:
Ответ дал: Pelageya
0
Решения и ответы прикреплены
Приложения:
Вас заинтересует