• Предмет: Математика
  • Автор: 20Ангелина02
  • Вопрос задан 10 лет назад

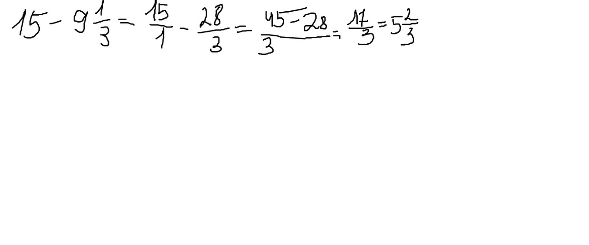
Сколько будет 15 отнять девять целых одна третия?

Ответы

Ответ дал: Pelageya
0
Решение и ответ прикреплены
Приложения:
Ответ дал: snegana160403
0
ответ 5 целых две третьих
Приложения:
Вас заинтересует