• Предмет: Алгебра
  • Автор: liyaaaaaaaaaa
  • Вопрос задан 10 лет назад

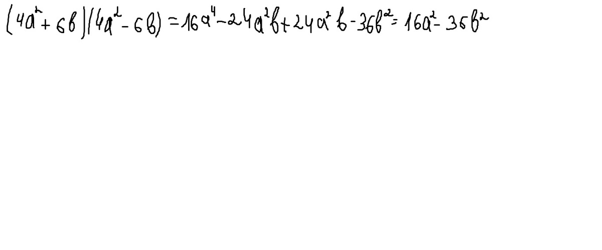
Выполните умножение:
(4а^2+6в)(4а^2-6в)

Ответы

Ответ дал: Pelageya
0
Решение прикреплено, но вообще это можно свернуть по формуле без лишних вычислений, (a-b)(a+b)=a^2-b^2
Ответ будет тот же
Приложения:
Вас заинтересует