• Предмет: Алгебра
  • Автор: lizzykawaii
  • Вопрос задан 10 лет назад

Помогите пожалуйста !!!
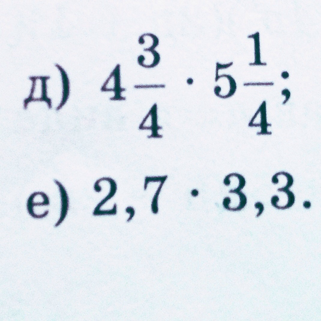
Найдите значение выражения по формуле сокращенного умножения .
7 класс
Примеры д, е

Приложения:

Ответы

Ответ дал: manyny06
0
решение смотри на фотографии
Приложения:
Ответ дал: lizzykawaii
0
спасибо с:
Вас заинтересует