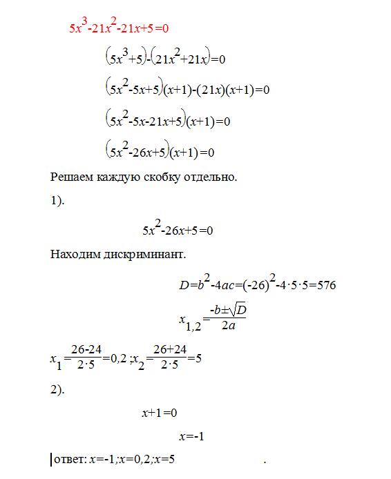
Нужно Решить до 18:00 Пожалуйста решите! Нажмите на задачу будет нормально выглядеть пример
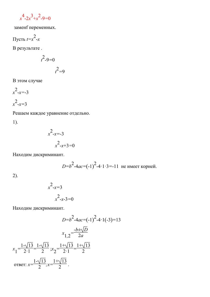
и вот эту
Ответы
Ответ дал:
0
===========================================================
Приложения:


Вас заинтересует
2 года назад
2 года назад
10 лет назад
10 лет назад
10 лет назад