• Предмет: Алгебра
  • Автор: chemodanc2012
  • Вопрос задан 10 лет назад

Задания во вложениях)
По подробней пожалуйста)
СРОЧНО нужно)

Приложения:

Ответы

Ответ дал: NNNLLL54
0
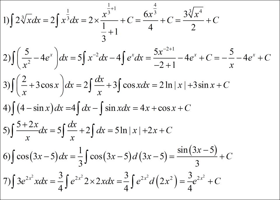
1); int 2sqrt[3]{x}dx=2cdot frac{x^{frac{4}{3}}}{frac{4}{3}}+C=frac{3}{2}sqrt[3]{x^4}+C\\2); int (frac{5}{x^2}-4e^{x})dx=-frac{5}{x}-4e^{x}+C\\3); int (frac{2}{x}+3cosx)dx=2ln|x|+3sinx+C\\4); int (4-sinx)dx=4x+cosx+C\\5); int frac{5+2x}{x}dx=int (frac{5}{x}+2)dx=5ln|x|+2x+C

6); int cos(3x-5)dx=[t=3x-5,; dt=3dx]=frac{1}{3}int cost, dt=\\=frac{1}{3}sint+C=frac{1}{3}sin(3x-5)+C\\7); int 3e^{2x^2}cdot x, dx=[t=2x^2,; dt=4x, dx]=frac{3}{4}int e^{t}, dt=\\=frac{3}{4}e^{t}+C=frac{3}{4}e^{2x^2}+C
Ответ дал: chemodanc2012
0
Спасибо большое)
Ответ дал: Аноним
0
решение смотри во вложении............................
Приложения:
Ответ дал: chemodanc2012
0
Спасибо, расписали подробно)
Вас заинтересует