• Предмет: Алгебра
  • Автор: nikuiko2000
  • Вопрос задан 10 лет назад

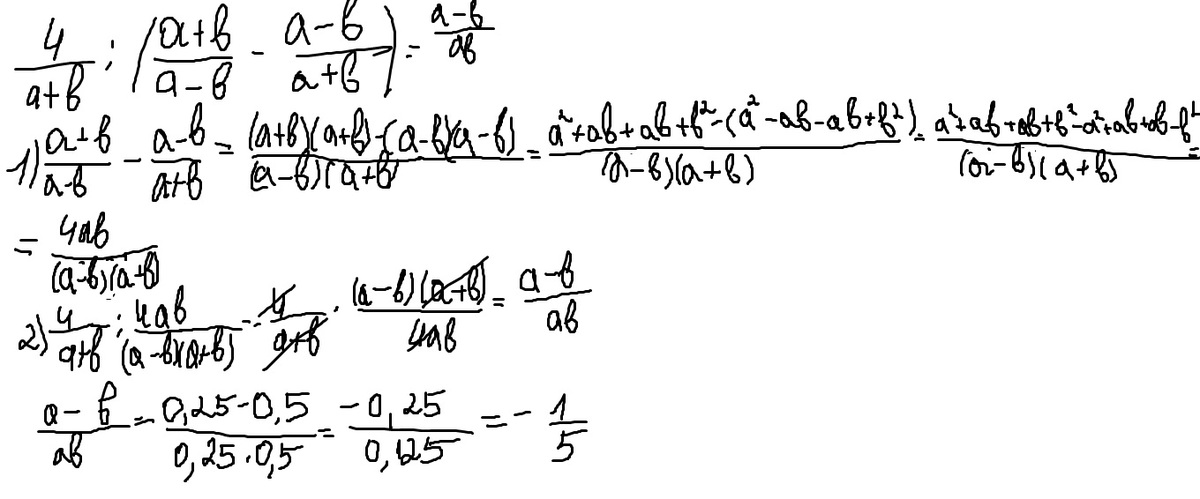
упростить и найти значение выражения при а=0.25 б=0.5

Приложения:

Ответы

Ответ дал: Pelageya
0
Решение и ответ прикреплены
Приложения:
Вас заинтересует