• Предмет: Химия
  • Автор: Berom89
  • Вопрос задан 10 лет назад

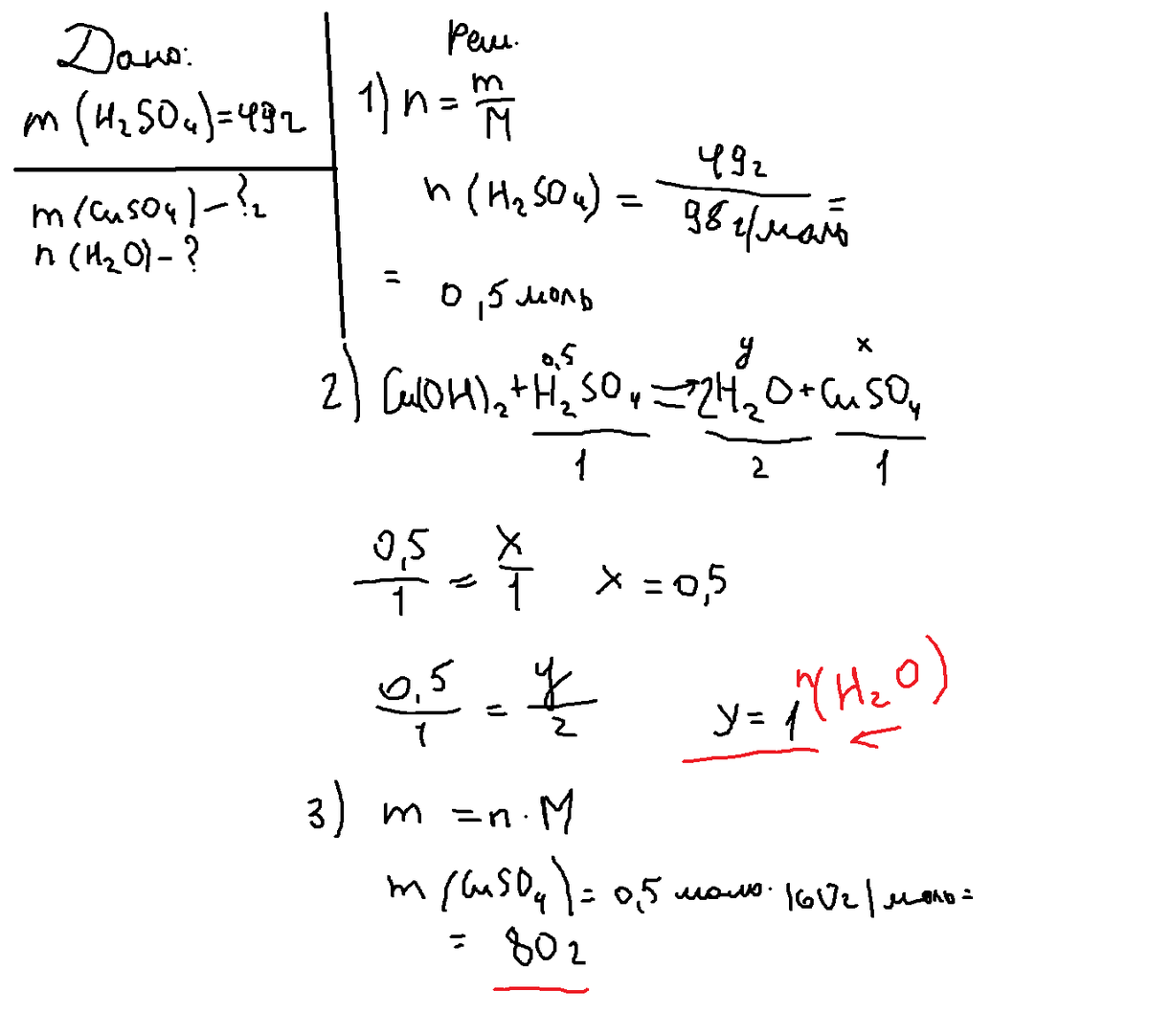
Определите массу соли и количество вещества воды, образовавшихся при реакции гидроксида меди с серной кислотой массой 49 грамм.
Пожалуйста решите как можно скорее

Ответы

Ответ дал: Squirrel9929
0
Вот решение, голосуй как за лучший ответ)  
Приложения:
Вас заинтересует