• Предмет: Математика
  • Автор: leylaabuli2013
  • Вопрос задан 10 лет назад

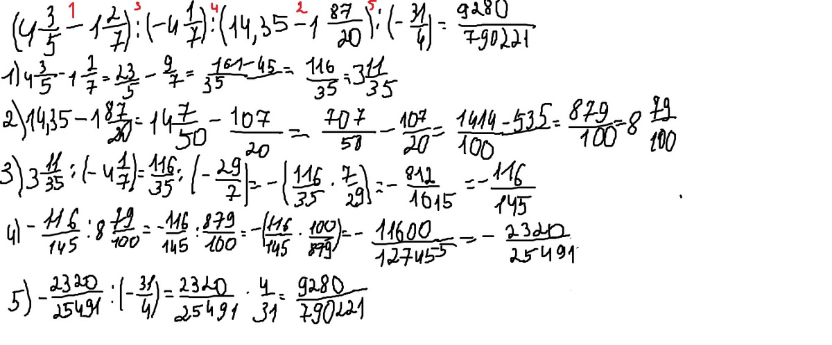
вычислите (4целых3/5-1цел.2/7)/(-4цел.1/7)/(14,35-1цел.87/20)/(-31/4)

Ответы

Ответ дал: Pelageya
0
Решение и ответ прикреплены
Приложения:
Вас заинтересует